授权公布号:CN111683928B
作为FGFR抑制剂的吡嗪-2(1H)-酮类化合物
有效
申请
2019-02-02
申请公布
2020-09-18
授权
2021-12-10
预估到期
2039-02-02
| 申请号 | CN201980012023.5 |
| 申请日 | 2019-02-02 |
| 申请公布号 | CN111683928A |
| 申请公布日 | 2020-09-18 |
| 授权公布号 | CN111683928B |
| 授权公告日 | 2021-12-10 |
| 分类号 | C07D241/18;C07D241/20;A61K31/495;A61K31/4965 |
| 分类 | 有机化学〔2〕; |
| 申请人名称 | 漳州片仔癀药业股份有限公司 |
| 申请人地址 | 福建省漳州市芗城区琥珀路1号 |
专利法律状态
2021-12-10
授权
状态信息
授权
2021-11-26
著录事项变更
状态信息
著录事项变更;IPC(主分类):C07D 241/18;专利申请号:2019800120235;变更事项:申请人;变更前:漳州片仔癀药业股份有限公司;变更后:漳州片仔癀药业股份有限公司;变更事项:地址;变更前:363000 福建省漳州市上街;变更后:363000 福建省漳州市芗城区琥珀路1号
2020-10-20
实质审查的生效
状态信息
实质审查的生效;IPC(主分类):C07D 241/18;专利申请号:2019800120235;申请日:20190202
2020-09-18
公布
状态信息
公布
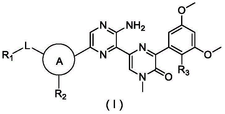
摘要
本发明公开了式(Ⅰ)所示化合物、其异构体或其药学上可接受的盐,并涉及其在制备治疗与FGFR相关疾病药物中的应用。


