授权公布号:CN220601623U
风机盘管及空调机组
有效
申请
2023-05-23
申请公布
1970-01-01
授权
2024-03-15
预估到期
2033-05-23
| 申请号 | CN202321296150.2 |
| 申请日 | 2023-05-23 |
| 授权公布号 | CN220601623U |
| 授权公告日 | 2024-03-15 |
| 分类号 | F24F1/0007;F24F1/0063;F24F13/30 |
| 分类 | 供热;炉灶;通风; |
| 申请人名称 | 浙江盾安机电科技有限公司 |
| 申请人地址 | 浙江省绍兴市诸暨市店口镇工业区 |
专利法律状态
2024-03-15
授权
状态信息
授权
摘要
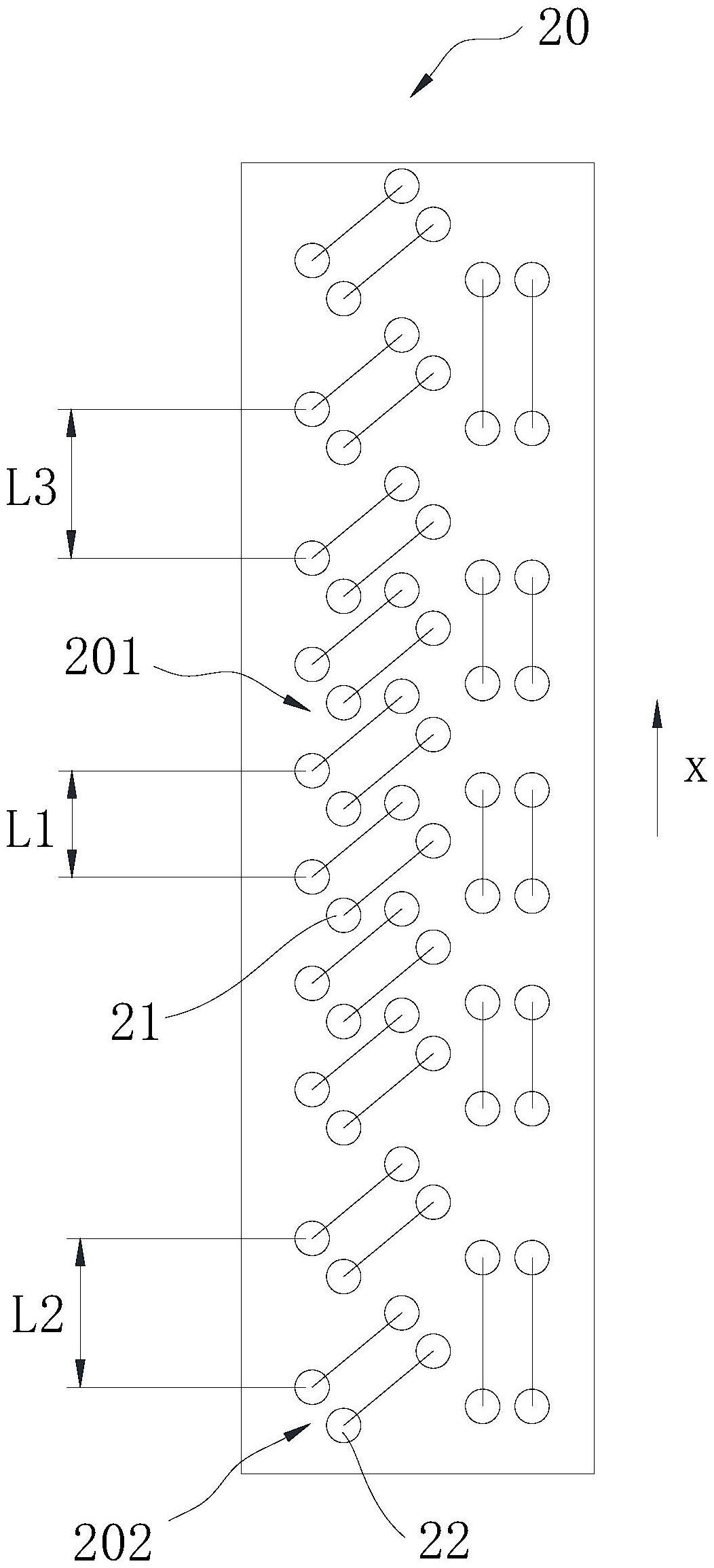
本申请的风机盘管及空调机组,风机盘管包括壳体、表冷器及风机,表冷器和风机均安装于壳体上;表冷器具有第一换热区域和第二换热区域,第一换热区域正对风机的出风口设置,第二换热区域与第一换热区域相邻设置;第一换热区域内设有多根沿第一方向布设的第一换热管,第二换热区域内设有多根沿第一方向布设的第二换热管;第一换热管的数量多于第二换热管的数量;沿第一方向,同排相邻两根第一换热管的管间距为L1,同排相邻两根第二换热管的管间距为L2,L1<L2;和/或,沿第二方向,相邻两排第一换热管之间的排间距为L4,相邻两排第二换热管之间的排间距为L5,L4<L5。如此,增加换热介质流动的管程,结合风机的吹风,使得表冷器的换热效率更好。


