授权公布号:CN114123209B
适用于电力系统输电线路的潮流控制系统及方法
有效
申请
2020-08-28
申请公布
2022-03-01
授权
2024-03-26
预估到期
2040-08-28
| 申请号 | CN202010882417.0 |
| 申请日 | 2020-08-28 |
| 申请公布号 | CN114123209A |
| 申请公布日 | 2022-03-01 |
| 授权公布号 | CN114123209B |
| 授权公告日 | 2024-03-26 |
| 分类号 | H02J3/06 |
| 分类 | 发电、变电或配电; |
| 申请人名称 | 国电南瑞科技股份有限公司 |
| 申请人地址 | 江苏省南京市江宁区诚信大道19号 |
专利法律状态
2024-03-26
授权
状态信息
授权
2022-03-01
公布
状态信息
公布
摘要
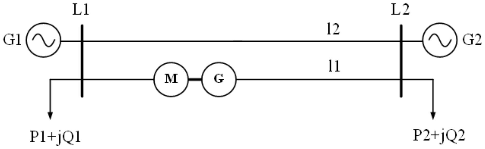
本发明公开了一种适用于电力系统输电线路的潮流控制系统及方法,所述系统包括并联的第一输电线路和第二输电线路,以及MGP单元和调节单元;所述MGP单元包括同步电动机和同步发电机,二者同轴刚性连接,串联在第一输电线路中;当监测到第一输电线路中有功功率与其负载能力不满足预设的要求时,所述调节单元调节MGP单元中的同步电动机和同步发电机的励磁,使得第一输电线路中的有功功率与其负载能力满足设定的要求,完成于电力系统输电线路的潮流控制。本发明能够灵活可靠进行潮流调整,从而有效避免电能馈入受端系统后,功率送出通道潮流分布不均、输电线路过载等问题,保证电网的安全稳定运行。


