授权公布号:CN103334186B
一种气流毛纺纺纱机及配套设备和生产工艺
有效
申请
2013-06-14
申请公布
2013-10-02
授权
2016-04-13
预估到期
2033-06-14
| 申请号 | CN201310236314.7 |
| 申请日 | 2013-06-14 |
| 申请公布号 | CN103334186A |
| 申请公布日 | 2013-10-02 |
| 授权公布号 | CN103334186B |
| 授权公告日 | 2016-04-13 |
| 分类号 | D01H4/02;D01G21/00 |
| 分类 | 天然或人造的线或纤维;纺纱或纺丝; |
| 申请人名称 | 江阴兴吴呢绒科技有限公司 |
| 申请人地址 | 江苏省无锡市江阴市长泾镇兴园路86号 |
专利法律状态
2016-04-13
授权
状态信息
授权
2013-11-06
实质审查的生效
状态信息
实质审查的生效IPC(主分类):D01H 4/02申请日:20130614
2013-10-02
公布
状态信息
公布
摘要
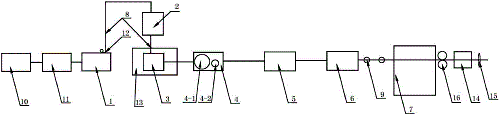
本发明公开了一种气流毛纺纺纱机及配套设备和生产工艺,该配套设备至少包括依次排列的和毛机、储纤仓、清花机、梳理机、并条机和混条机,在混条机的前端设置有气流纺纱机,和毛机与储纤仓之间、储纤仓与清花机之间、清花机与梳理机之间通过风道连接,在混条机与气流纺纱机之间设有罗拉辊。用气流纺纱机纺织毛或毛棉混纺纤维的工艺包括依次进行的毛料初加工、选配毛料、毛料预处理、和毛、清花、梳理、分条与并条、混条、气流纺纱和加倍捻等工艺过程。由于将气流纺纱的高效特性与毛纺纤维的特有特性结合在一起,通过对梳棉机和并条机结构的改进,使原有气流纺纱机只能用于纺织棉纤维,改为即可以用其纺织纯毛纤维,及毛棉混纺纤维。


