授权公布号:CN114796205B
用于治疗近视的方法和药物组合物
有效
申请
2022-04-29
申请公布
2022-07-29
授权
2023-05-05
预估到期
2042-04-29
| 申请号 | CN202210472306.1 |
| 申请日 | 2022-04-29 |
| 申请公布号 | CN114796205A |
| 申请公布日 | 2022-07-29 |
| 授权公布号 | CN114796205B |
| 授权公告日 | 2023-05-05 |
| 分类号 | A61K31/416;A61P27/10;A61P27/06;A61P27/02;A61P9/10 |
| 分类 | 医学或兽医学;卫生学; |
| 申请人名称 | 远大医药(中国)有限公司 |
| 申请人地址 | 湖北省武汉市硚口区硚口路160号1幢23层1-6号 |
专利法律状态
2023-05-05
授权
状态信息
授权
2022-08-26
实质审查的生效
状态信息
实质审查的生效;IPC(主分类):A61K 31/416;专利申请号:2022104723061;申请日:20220429
2022-07-29
公布
状态信息
公布
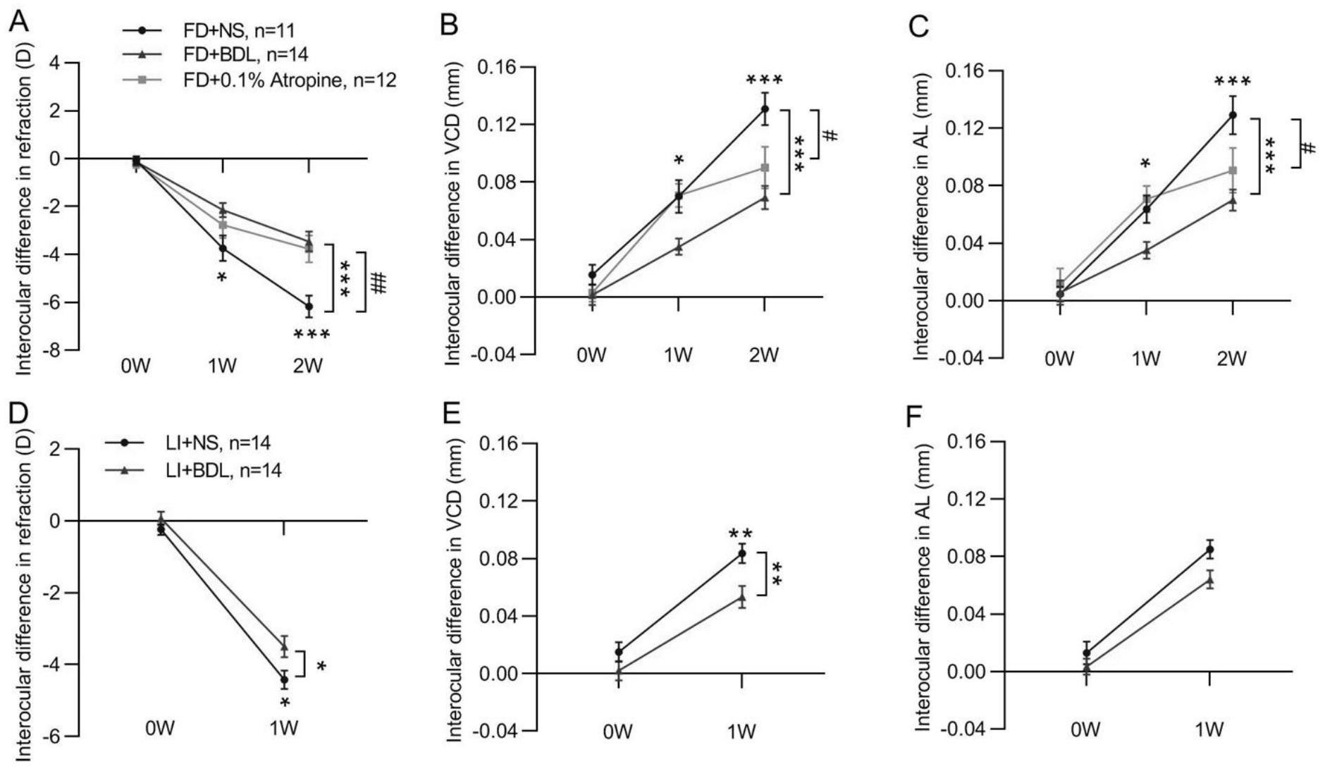
摘要
本申请涉及用于预防和/或治疗近视的方法和药物组合物。本申请的药物组合物或方法能够有效防控近视,并且安全无明显副作用,具有良好的临床应用前景。


