授权公布号:CN218600879U
一种带膨胀储能的压缩机负荷试验系统
有效
申请
2022-10-19
申请公布
1970-01-01
授权
2023-03-10
预估到期
2032-10-19
| 申请号 | CN202222752274.9 |
| 申请日 | 2022-10-19 |
| 授权公布号 | CN218600879U |
| 授权公告日 | 2023-03-10 |
| 分类号 | G01M99/00 |
| 分类 | 测量;测试; |
| 申请人名称 | 中石化石油机械股份有限公司 |
| 申请人地址 | 湖北省武汉市东湖新技术开发区光谷大道77号光谷金融港A2座12层 |
专利法律状态
2023-03-10
授权
状态信息
授权
摘要
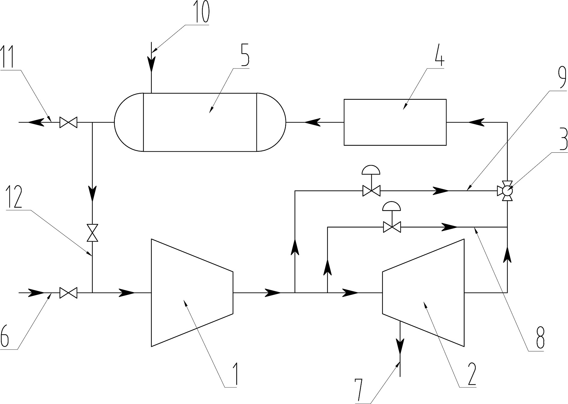
本实用新型提供了一种带膨胀储能的压缩机负荷试验系统,包括进气管线与排空管线,进气管线与排空管线之间依次连通有压缩机组、膨胀发电机组、调压撬以及缓冲罐,缓冲罐与压缩机组之间设有连通的循环管线;膨胀发电机组一侧设有并联的调压管线,调压管线两端与膨胀发电机组的两端连通;调压管线外侧设有并联的调温管线,调温管线两端与调压管线的两端连通。减少压缩机试验出口的降温降压装备及耗能;有效回收储能或利用压缩机试验的压力能;压缩气体实现闭式循环利用,减少特殊气体消耗,节约试验机组供气系统能耗;避免高压放空噪音污染;有效建立压缩机负荷试验压力需求,对试验效果有益。


