授权公布号:CN108672014B
颗粒剂的生产系统、生产方法及颗粒剂
有效
申请
2018-05-15
申请公布
2018-10-19
授权
2020-01-21
预估到期
2038-05-15
| 申请号 | CN201810462167.8 |
| 申请日 | 2018-05-15 |
| 申请公布号 | CN108672014A |
| 申请公布日 | 2018-10-19 |
| 授权公布号 | CN108672014B |
| 授权公告日 | 2020-01-21 |
| 分类号 | B02C7/06;B02C7/14;B02C23/12;B07B7/06;B26D1/12;B26D5/00;A61K9/16 |
| 分类 | 破碎、磨粉或粉碎;谷物碾磨的预处理; |
| 申请人名称 | 中山市美太保健制品有限公司 |
| 申请人地址 | 广东省中山市小榄镇工业大道南23号 |
专利法律状态
2021-01-01
专利申请权、专利权的转移
状态信息
专利权的转移;IPC(主分类):B02C7/06;专利号:ZL2018104621678;登记生效日:20201218;变更事项:专利权人;变更前权利人:安徽省华腾农业科技有限公司;变更后权利人:中山市美太保健制品有限公司;变更事项:地址;变更前权利人:234000 安徽省宿州市埇桥区汴河路229号;变更后权利人:528400 广东省中山市小榄镇工业大道南23号
2020-01-21
授权
状态信息
授权
2018-11-13
实质审查的生效
状态信息
实质审查的生效;IPC(主分类):B02C7/06;专利申请号:2018104621678;申请日:20180515
2018-10-19
发明专利申请公布
状态信息
公布
摘要
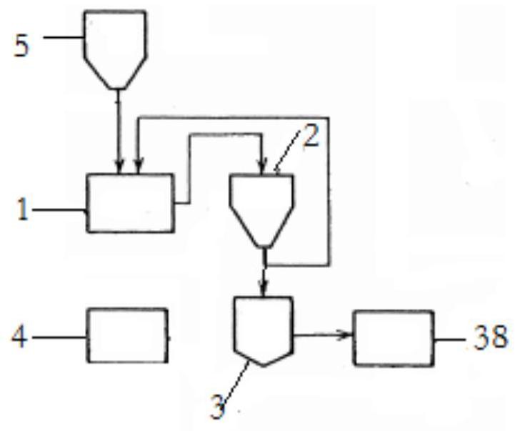
本发明涉及一种颗粒剂的生产系统、生产方法及颗粒剂,生产系统包括粉碎装置(1)、分级装置(2)、颗粒形成装置(3)和控制装置(4),弹性机构(10)调节间距直到粉碎装置(1)形成的原材料粉末符合预定阈值,在第一时间周期内,转动平台(24)以第一转动速度转动、负压单元(28)以第一压力抽吸气流且搅拌器(30)以第二转动速度转动使得原材料粉末和辅料半流动翻滚混合,在第二时间周期内,转动平台(24)以第四转动速度转动、负压单元(28)以第二压力抽吸气流、搅拌器(30)以第五转动速度转动且切割刀片(37)在预定切割高度和预定切割角度下以第三转动速度转动切割形成颗粒剂。


