授权公布号:CN112782156B
一种壳多糖酶3样蛋白1试剂盒及其制备方法
有效
申请
2021-01-04
申请公布
2021-05-11
授权
2022-04-19
预估到期
2041-01-04
| 申请号 | CN202110002729.2 |
| 申请日 | 2021-01-04 |
| 申请公布号 | CN112782156A |
| 申请公布日 | 2021-05-11 |
| 授权公布号 | CN112782156B |
| 授权公告日 | 2022-04-19 |
| 分类号 | G01N21/76 |
| 分类 | 测量;测试; |
| 申请人名称 | 美康生物科技股份有限公司 |
| 申请人地址 | 浙江省宁波市鄞州区启明南路299号 |
专利法律状态
2022-04-19
授权
状态信息
授权
2021-05-11
公布
状态信息
公布
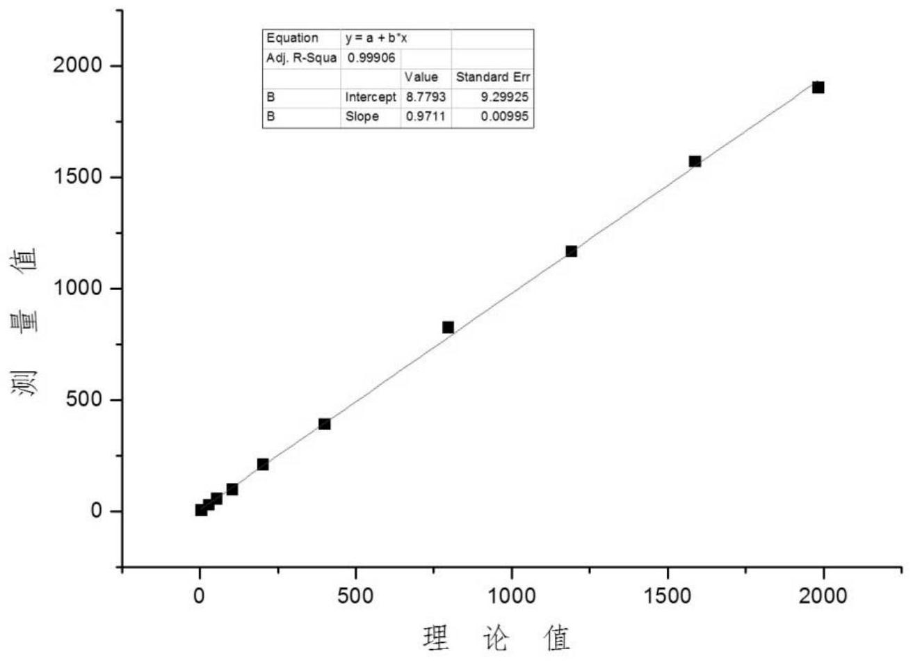
摘要
本发明公开了一种壳多糖酶3样蛋白1(CHI3L1)试剂盒,本试剂盒是基于超顺磁性纳米微粒作为固相载体,吖啶酯作为发光标记物的直接化学发光平台,利用经典的双抗体夹心法捕获血清中的待测物,应用全自动化学发光仪进行实验的测试和试剂优化调试。本发明可准确的反映患者肝炎症活动度以及纤维化程度。针对CHI3L1的检测可作为一种非创伤性辅助肝纤维化诊断方法,具有较大的应用价值。


