授权公布号:CN209713334U
一种呼吸暂停调控服
有效
申请
2019-01-07
申请公布
1970-01-01
授权
2019-12-03
预估到期
2029-01-07
| 申请号 | CN201920018232.8 |
| 申请日 | 2019-01-07 |
| 授权公布号 | CN209713334U |
| 授权公告日 | 2019-12-03 |
| 分类号 | A61F5/56;A61B5/08 |
| 分类 | 医学或兽医学;卫生学; |
| 申请人名称 | 华纺股份有限公司 |
| 申请人地址 | 山东省滨州市滨城区黄河二路819号 |
专利法律状态
2019-12-03
授权
状态信息
授权
摘要
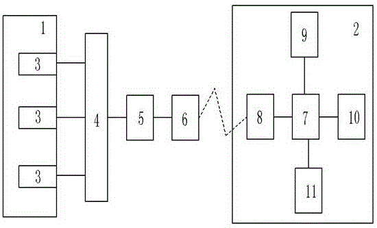
本实用新型涉及一种呼吸暂停调控服,其特征在于,包括衣服本体和手环本体,所述的衣服本体内设置有呼吸传感器,所述的呼吸传感器连接有数据采集器,所述的数据采集器连接有数据处理器,所述的数据处理器连接有无线发送器;所述的手环本体上设置有控制器,所述的控制器连接有无线接收器和触发器;所述的无线接收器与无线发送器之间通过无线方式进行通信。


