授权公布号:CN115567832B
一种大规模组网扩展级联麦克风系统和方法
有效
申请
2022-12-05
申请公布
2023-01-03
授权
2023-03-14
预估到期
2042-12-05
| 申请号 | CN202211549335.X |
| 申请日 | 2022-12-05 |
| 申请公布号 | CN115567832A |
| 申请公布日 | 2023-01-03 |
| 授权公布号 | CN115567832B |
| 授权公告日 | 2023-03-14 |
| 分类号 | H04R1/24;H04R1/26;H04R1/40;H04L65/1069 |
| 分类 | 电通信技术; |
| 申请人名称 | 深圳市拔超科技股份有限公司 |
| 申请人地址 | 广东省深圳市宝安区福海街道展城社区和秀西路87号和景工业区第16栋301-403 |
专利法律状态
2023-03-14
授权
状态信息
授权
2023-01-03
公布
状态信息
公布
摘要
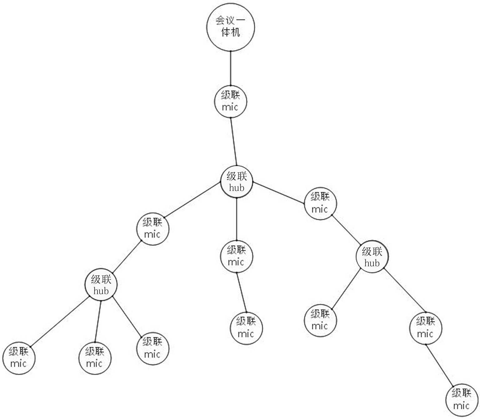
本发明公开了一种大规模组网扩展级联麦克风系统和方法,级联麦克风系统包括:多个级联麦克风,可进行拾音以及拾音后根据从上级设备的级联Hub处接收的参考音频信号完成音频处理,并将处理后的音频数据送给上级设备的级联Hub;级联Hub,在收到一个或者多个下级设备的级联麦克风上传的声音数据后,将进行能量比较,选择能量最大的声音数据送给上级设备的会议一体机;会议一体机,根据从PC机接收的音频信号完成音频处理,将处理后的声音数据与从下级设备的级联Hub传上来的声音数据进行能量比较,选择能量较大的那一路数据送给PC机。本发明实现级联麦克风的大规模组网扩展,从而满足大型会议室或者教室中大规模部署级联麦克风的需求。


