授权公布号:CN106893352B
一种单偶氮类化合物
有效
申请
2015-12-17
申请公布
2017-06-27
授权
2018-10-09
预估到期
2035-12-17
| 申请号 | CN201510956442.8 |
| 申请日 | 2015-12-17 |
| 申请公布号 | CN106893352A |
| 申请公布日 | 2017-06-27 |
| 授权公布号 | CN106893352B |
| 授权公告日 | 2018-10-09 |
| 分类号 | C09B62/51;D06P1/384 |
| 分类 | 染料;涂料;抛光剂;天然树脂;黏合剂;其他类目不包含的组合物;其他类目不包含的材料的应用; |
| 申请人名称 | 上海安诺其集团股份有限公司 |
| 申请人地址 | 上海市青浦区崧华路881号 |
专利法律状态
2018-10-09
授权
状态信息
授权
2017-08-18
实质审查的生效
状态信息
实质审查的生效;IPC(主分类):C09B62/51;申请日:20151217
2017-06-27
公布
状态信息
公布
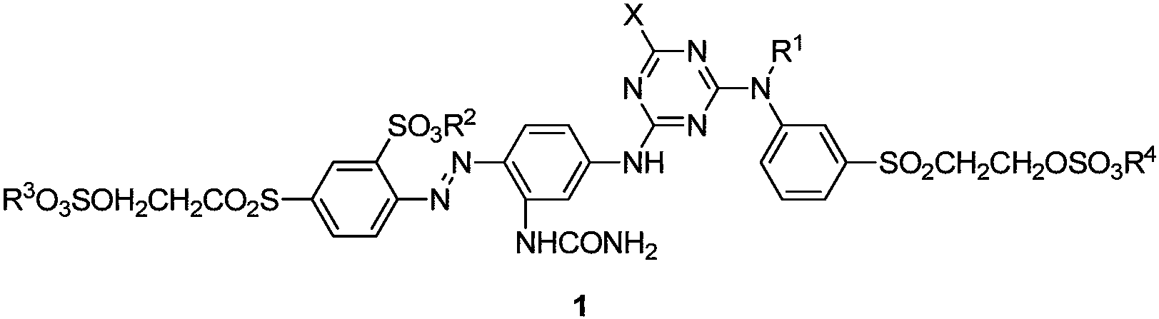
摘要
本发明公开了一种单偶氮类化合物。本发明的单偶氮类化合物如式1所示。该化合物具有漂亮的琥珀黄色、很大的溶解度、适中的直接性、非常高的吸色率和固色率、良好的提升性、非常好的耐盐碱的稳定性、优异的湿处理牢度和日晒牢度,适于在棉、麻等纤维素纤维或毛、丝等蛋白质纤维上的浸染染色、连续染色和印花,尤其适用于扎染及冷轧堆工艺染色,无色花、色差现象,无头尾差和边中差的缺点,一次成染率高。


